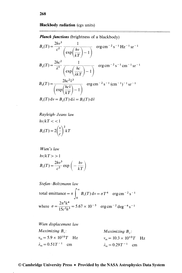
Black Body equations